高压调门节流响应一次调频的案例
来源:哲成阀门 作者:www.zczkvalve.com 发布时间:2019-6-20 阅读:
  

1 前言

      中国的特高压输电网络正在逐渐的建设过程中, 另外还有我们国家一直兴起的风能, 还有太阳能等一些新能源。特高压输电网高压直流输电阻塞、新能源发电波动的潜在风险对电网频率改变提出了严峻的挑战。

      火电机组一定要更深入地参与电网的主频调节。如今, 高压调节阀节流被用作完成全循环汽轮机组快速负荷增加的方法。参与主频率调制将导致正常操作中的大量节流损失。鉴于电网频率稳定性的下降, 高压调节门的节流幅度将不可避免地增加, 导致机组运行经济性减少。所以, 如何在电网一次调频评估要求下最理想地降低带来产生的热量与损失这是非常重要需要去处理的状况

2 高压调门节流响应一次调频案例分析

     带全循环蒸汽入口的超超临界机组, 预留5%主汽压节流阀响应一次调频, 使机组具有快速升负荷能力。

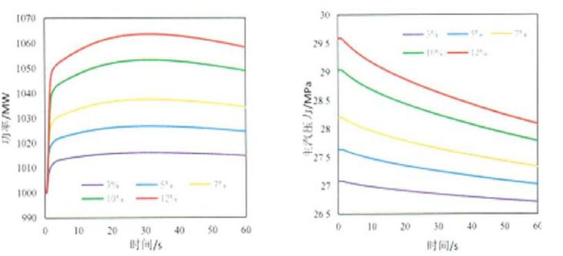
      本文以西门子1000兆瓦超超临界机组为研究对象, 研究复合滑压运行方式通过主蒸汽压力节流为5%, 当达到1000MW工况的时候压力是27.64MPa, 主汽阀后压力、主汽流量、主汽焓分别是 (25.02MPa, 753.85kg/s, 3469, 15kJ/kg。) 当额定情况下改变闸门的阶跃扰动试验里, 高压调节闸门经过预留的5%节流压降迅速全部开启。当图中重要数据的动态反映按下面图所示。高压调节阀全部开启之后, 高压缸的入汽量从开始的753.85桶慢慢上升至788.01千桶。因为位于热器中间容积的落后反映, 低压缸流量慢慢上升。

       在扰动发生44S时达到最大值655.65kg/s。

 图1:机组功率响应

 

图2

     随着蒸汽进口量的增加, 主蒸汽压力逐渐降低。600S后, 主蒸汽流量先上升后下降, 最后回落到初始值, 从27.64 MPa到26.38MPa。 (3) 当高压调节阀全部开启之后, 机组功率很快增加改变到1021.9兆瓦。因为中低压缸功率响应缓慢, 机组最大功率在30S时达到1026.9兆瓦, 应主蒸汽压力减弱。当60S的时候调频检测里, 就下降至1024.5毫瓦。高压调节门阶跃扰动的仿真数据显示, 机组随高压调节门开度的增大而增大。随着阀门开度的增大, 负载逐渐增大, 负载响应速度更快。当HV门保持5%的节流工作的时候, 全部开启功率的最大增量是26.9MW, 主频调制的平均工作增量是60秒内24.9MW。按照电网评估规定, 电网频率可以误差是0.2Hz, 且网机组调频设定上限不可以<额定负荷的6%一次。如图1所示为机组功率响应图。

      由此可见, 当高压调节门主汽压节流留有5%的时候, 它的负荷调节能力比较难实现电网评估的规定。要提升一次调频性能, 必须对滑压工作曲线进行修改。

      当机组正常工作时, 高压调节阀保留较大的主汽门, 来响应一次调频。由于高压调节阀运用不一样的主汽压节流工作状况的时候, 对调节阀在额定负荷下开展全部开启阶跃响应测试, 机组功率与主汽压力的动态反映状态如图2所示。

      鉴于高压调节阀节流范围的渐渐变大, 主蒸汽压力慢慢变大, 机组增加负荷能力不断提高。就主蒸汽压力节流规定至12%的时候, 高压调节阀全部开启之后机组最大功率上升到1064.5MW, 当60秒之后就下降到1058.7MW。电网一次调频最大规定是额定值的6%。不过, 负载不够。二次频率性能的提高是以热循环效率为代价的。按照计算数据显示, 机组正常工作时热耗将增加20.56kJ/kg。

3 汽机调门优化技术路线

      安徽某电厂使用复合配汽方式的汽轮机, 当配额负荷下, 机组效率相对比较高, 不过在低负荷下, 因为四个高压调节阀的节流损失, 机组效率不高。低负荷下汽轮机高压调节阀复合分配方式的节流损失较大, 影响机组经济性。它准备增加顺序阀门进气模式, 原始复合蒸汽分配模式仍然用于单位旋转, 电网连接和启动的初始阶段, 来满足要求。开始启动的时候的热应力需要在有负载之后变成为顺序阀进气模式。为了增加顺序阀门模式, 首先, 我们需要澄清向下阀门的开启组合。通过搜索相关文献, 我们可以研究相同类型单位的运作, 开调门顺序建议应用2+4、3、1的方法。经与汽轮机制造厂技术工人探讨, 确定顺序阀开方式更适合于汽轮机。在低负荷时, 先打开下2和4高压调节门, 鉴于负荷的增加, 依次打开3调节门和1调节门。

      顺序阀模式组合确定之后, 选取一个代表性负载点来改变第三个或第四个阀的开度。经过对机组热耗率的一系列比较与调试, 找出最经济的开启和滑动压力。曲线, 且按照机组的原本情况开展了讨论查找, 再者选取经济工作方法。调节阀开度组合确定之后, 向汽轮机调节阀 (尤其是顺序阀工作区的调节阀) 展开流量特性试验。

     通过对调节阀特性的分析计算, 改进了配汽功能, 提升了调节阀对流量指令的准确度, 更加提升了调节阀的控制效果。运用停机的时间与维护, DEH控制逻辑的调试, 然后展开整理阀门功能的工作, 做到复合蒸汽分配模式和顺序阀门模式之间的切换, 并通过冷模拟测试检验阀门顺序转换性能。开展热态试验加快察看机组在顺序阀方法下的工作状况, 改善阀序切换性能。

4 结语

      综上所述, 一次调频技术对于电网频率快速响应以及火电机组安全稳定性来说都至关重要。自2016年开始, 安徽电网在实施电力效率提升的相关考核细则后, 就如何实现一次调频技术规范化管理、提升一次调频精度及性能指标成为省内火电企业的一大技术瓶颈。我们要加强技术突破, 积极探索与实践, 创新理念, 结合电力系统同步相量测量装置端安装同源装置的做法, 将电网侧的频率信号直接引入分布式控制系统, 作为一次调频的修正指令, 完成对调频指标的同源校正, 这样可以不仅实现对机组一次调频性能的有效优化, 还可对大扰动工况下一次调频指标的提升也能起到十分积极的作用。

本文Tag:高压调门节流、一次调频、响应
本站推荐:
相关资讯:
Copyright 2006-2019温州哲成自控阀门有限公司 版权所有 转载本站图文敬请注明来源(哲成阀门 www.zczkvalve.com) 违者必究 本站常驻律师:李成新

温州哲成自控是国内专业的调节阀(气动/电动)、控制阀、自力式调节阀、气动截止阀、波纹管调节阀、气动切断阀专业厂家,欢迎新老客户来电咨询!

销售热线:0577-67980928 传真:0577-67980938 手机:18968997360 13736975604 邮箱:zczkvalve@163.com

厂址:浙江省温州市永嘉县五星工业区 国家工业和信息化部 备案/许可证编号为:浙ICP备14005643号 网站导航
主营产品及配件:调节阀 自力式调节阀 控制阀 CV3000调节阀 电动调节阀 精小型调节阀 气动调节阀 执行机构 气动切断阀
友情链接: 中国泵阀第一网 调节阀
哲成阀门-360绿色网站认证